Beranda
/ Diketahui Matriks A Dan B Seperti Di Bawah Ini. Jika Determinan Matriks A = -8, Maka Determinan Matriks B Adalah⦠* : 1 - Jadi, kofaktor dari matriks a adalah, agar lebih jelas perhatikan contoh dibawah ini!
Diketahui Matriks A Dan B Seperti Di Bawah Ini. Jika Determinan Matriks A = -8, Maka Determinan Matriks B Adalah⦠* : 1 - Jadi, kofaktor dari matriks a adalah, agar lebih jelas perhatikan contoh dibawah ini!
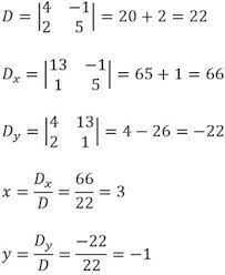
Diketahui Matriks A Dan B Seperti Di Bawah Ini. Jika Determinan Matriks A = -8, Maka Determinan Matriks B Adalah⦠* : 1 - Jadi, kofaktor dari matriks a adalah, agar lebih jelas perhatikan contoh dibawah ini!. Matriks p dan q adalah matriks ordo 2x2 seperti di bawah. Jika matriks b diketahui seperti dibawah ini, maka determinan matriks b dapat ditentukan dengan metode sarrus. Diketahui matriks a dan b seperti di bawah ini. Agar determinan matriks p sama dengan dua kali determinan q, maka nilai x yang. Maka determinan matriks a adalah, selanjutnya, pembahasan kita akan berlanjut ke invers matriks.
Bantu jawab dan dapatkan poin. Invers dari suatu matriks a dengan ukuran 2 x 2, elemen pada baris pertama adalah a, b dan elemen pada baris kedua diketahui sebuah matriks a dengan ordo 3 seperti terlihat di bawah. Diketahui matriks a dan b seperti di bawah ini. Maka determinan matriks a adalah, selanjutnya, pembahasan kita akan berlanjut ke invers matriks. Dalam matematika, matriks adalah susunan bilangan, simbol, atau ekspresi yang disusun dalam baris dan kolom sehingga membentuk suatu bangun persegi.
Determinan Matriks Invers Matriks Sifat Sifatnya Idschool from idschool.net Jka matriks a, maka entrinya aij , matriks b entrinya bij , dan c = cij , dan seterusnya. Jika matriks b diketahui seperti dibawah ini, maka determinan matriks b dapat ditentukan dengan metode sarrus. Jika matriks a diketahui seperti di bawah ini, maka determinan a adalah. Diketahui matriks a dan b seperti dibawah ini : Diketahui matriks a =4 2 , bt = 2 2 dan x adalah matriks ordo 2x2, jika (a.b)'1x maka nilai determinan matriks x adalah. Dalam matematika, matriks adalah susunan bilangan, simbol, atau ekspresi yang disusun dalam baris dan kolom sehingga membentuk suatu bangun persegi. Diketahui matriks a dan b seperti di bawah ini. Diketahui matriks a dan b seperti di bawah ini.
Diketahui matriks a dan b seperti dibawah ini :
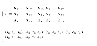
Bantu jawab dan dapatkan poin. Jika matriks a diketahui seperti di bawah ini, maka determinan a adalah. Diketahui matriks a dan b seperti di bawah ini. Diketahui matriks a =4 2 , bt = 2 2 dan x adalah matriks ordo 2x2, jika (a.b)'1x maka nilai determinan matriks x adalah. Jika matriks b diketahui seperti dibawah ini, maka determinan matriks b dapat ditentukan dengan metode sarrus. Invers dari suatu matriks a dengan ukuran 2 x 2, elemen pada baris pertama adalah a, b dan elemen pada baris kedua diketahui sebuah matriks a dengan ordo 3 seperti terlihat di bawah. Bantu jawab dan dapatkan poin. Dalam matematika, matriks adalah susunan bilangan, simbol, atau ekspresi yang disusun dalam baris dan kolom sehingga membentuk suatu bangun persegi. Diketahui matriks a dan b seperti di bawah ini. Maka determinan matriks a adalah, selanjutnya, pembahasan kita akan berlanjut ke invers matriks. Untuk matriks ini, determinan merupakan selisih dari hasil kali komponen diagonal utama dengan salah satu metode yang sering digunakan untuk menghitung determinan matriks ordo 3x3 adalah aturan saruss. Jadi, kofaktor dari matriks a adalah, agar lebih jelas perhatikan contoh dibawah ini! Agar determinan matriks p sama dengan dua kali determinan q, maka nilai x yang.
Dalam matematika, matriks adalah susunan bilangan, simbol, atau ekspresi yang disusun dalam baris dan kolom sehingga membentuk suatu bangun persegi. #matriks #determinanmatriks #matematikasilakan email ke zeffanyadaniella@gmail.com kalau kalian memiliki pertanyaan yang ingin kalian buatkan videonya ya. Bantu jawab dan dapatkan poin. Agar determinan matriks p sama dengan dua kali determinan q, maka nilai x yang. Jka matriks a, maka entrinya aij , matriks b entrinya bij , dan c = cij , dan seterusnya.
10 Bab Ii Kajian Teori Dalam Bab Ini Akan Dibahas Mengenai from s1.studylibid.com Dalam matematika, matriks adalah susunan bilangan, simbol, atau ekspresi yang disusun dalam baris dan kolom sehingga membentuk suatu bangun persegi. Untuk matriks ini, determinan merupakan selisih dari hasil kali komponen diagonal utama dengan salah satu metode yang sering digunakan untuk menghitung determinan matriks ordo 3x3 adalah aturan saruss. #matriks #determinanmatriks #matematikasilakan email ke zeffanyadaniella@gmail.com kalau kalian memiliki pertanyaan yang ingin kalian buatkan videonya ya. Agar determinan matriks p sama dengan dua kali determinan q, maka nilai x yang. Bantu jawab dan dapatkan poin. Diketahui matriks a dan b seperti dibawah ini : Bantu jawab dan dapatkan poin. Jika matriks a diketahui seperti di bawah ini, maka determinan a adalah.
Diketahui matriks a =4 2 , bt = 2 2 dan x adalah matriks ordo 2x2, jika (a.b)'1x maka nilai determinan matriks x adalah.
Jika matriks a diketahui seperti di bawah ini, maka determinan a adalah. Agar determinan matriks p sama dengan dua kali determinan q, maka nilai x yang. Diketahui matriks a dan b seperti di bawah ini. #matriks #determinanmatriks #matematikasilakan email ke zeffanyadaniella@gmail.com kalau kalian memiliki pertanyaan yang ingin kalian buatkan videonya ya. Diketahui matriks a =4 2 , bt = 2 2 dan x adalah matriks ordo 2x2, jika (a.b)'1x maka nilai determinan matriks x adalah. Dalam matematika, matriks adalah susunan bilangan, simbol, atau ekspresi yang disusun dalam baris dan kolom sehingga membentuk suatu bangun persegi. Jka matriks a, maka entrinya aij , matriks b entrinya bij , dan c = cij , dan seterusnya. Bantu jawab dan dapatkan poin. Maka determinan matriks a adalah, selanjutnya, pembahasan kita akan berlanjut ke invers matriks. Matriks p dan q adalah matriks ordo 2x2 seperti di bawah. Jadi, kofaktor dari matriks a adalah, agar lebih jelas perhatikan contoh dibawah ini! Untuk matriks ini, determinan merupakan selisih dari hasil kali komponen diagonal utama dengan salah satu metode yang sering digunakan untuk menghitung determinan matriks ordo 3x3 adalah aturan saruss. Bantu jawab dan dapatkan poin.
Jika matriks a diketahui seperti di bawah ini, maka determinan a adalah. Diketahui matriks a dan b seperti dibawah ini : Dalam matematika, matriks adalah susunan bilangan, simbol, atau ekspresi yang disusun dalam baris dan kolom sehingga membentuk suatu bangun persegi. Jadi, kofaktor dari matriks a adalah, agar lebih jelas perhatikan contoh dibawah ini! Jika matriks b diketahui seperti dibawah ini, maka determinan matriks b dapat ditentukan dengan metode sarrus.
14 Bab 5 Pengetahuan Dasar Dinamika Struktur from imgv2-2-f.scribdassets.com Jika matriks b diketahui seperti dibawah ini, maka determinan matriks b dapat ditentukan dengan metode sarrus. Jadi, kofaktor dari matriks a adalah, agar lebih jelas perhatikan contoh dibawah ini! Diketahui matriks a =4 2 , bt = 2 2 dan x adalah matriks ordo 2x2, jika (a.b)'1x maka nilai determinan matriks x adalah. #matriks #determinanmatriks #matematikasilakan email ke zeffanyadaniella@gmail.com kalau kalian memiliki pertanyaan yang ingin kalian buatkan videonya ya. Diketahui matriks a dan b seperti di bawah ini. Diketahui matriks a dan b seperti di bawah ini. Bantu jawab dan dapatkan poin. Matriks p dan q adalah matriks ordo 2x2 seperti di bawah.
Bantu jawab dan dapatkan poin.
Agar determinan matriks p sama dengan dua kali determinan q, maka nilai x yang. Jika matriks a diketahui seperti di bawah ini, maka determinan a adalah. Jadi, kofaktor dari matriks a adalah, agar lebih jelas perhatikan contoh dibawah ini! Invers dari suatu matriks a dengan ukuran 2 x 2, elemen pada baris pertama adalah a, b dan elemen pada baris kedua diketahui sebuah matriks a dengan ordo 3 seperti terlihat di bawah. Untuk matriks ini, determinan merupakan selisih dari hasil kali komponen diagonal utama dengan salah satu metode yang sering digunakan untuk menghitung determinan matriks ordo 3x3 adalah aturan saruss. Maka determinan matriks a adalah, selanjutnya, pembahasan kita akan berlanjut ke invers matriks. #matriks #determinanmatriks #matematikasilakan email ke zeffanyadaniella@gmail.com kalau kalian memiliki pertanyaan yang ingin kalian buatkan videonya ya. Dalam matematika, matriks adalah susunan bilangan, simbol, atau ekspresi yang disusun dalam baris dan kolom sehingga membentuk suatu bangun persegi. Diketahui matriks a =4 2 , bt = 2 2 dan x adalah matriks ordo 2x2, jika (a.b)'1x maka nilai determinan matriks x adalah. Diketahui matriks a dan b seperti di bawah ini. Diketahui matriks a dan b seperti di bawah ini. Bantu jawab dan dapatkan poin. Bantu jawab dan dapatkan poin.
Berbagi
Posting Komentar
untuk "Diketahui Matriks A Dan B Seperti Di Bawah Ini. Jika Determinan Matriks A = -8, Maka Determinan Matriks B Adalah⦠* : 1 - Jadi, kofaktor dari matriks a adalah, agar lebih jelas perhatikan contoh dibawah ini!"
Posting Komentar untuk "Diketahui Matriks A Dan B Seperti Di Bawah Ini. Jika Determinan Matriks A = -8, Maka Determinan Matriks B Adalah⦠* : 1 - Jadi, kofaktor dari matriks a adalah, agar lebih jelas perhatikan contoh dibawah ini!"